新型单机压缩机高低温试验箱的制冷系统设计
作者:
salmon范
编辑:
瑞凯仪器
来源:
m.94ww99.cn
发布日期: 2019.09.07
1、前言
随着环境试验技术的发展,对-些重要军用设备的关键部件和电子元器件。需用到体积小、制冷温度低、控制精度高的
小型高低温试验箱。而目前我国生产的高低温试验箱(箱内容积小为60升),其制冷系统均以氟利昂作为制冷剂,且必须使用2台压缩机,不仅体积大,而且降温时间也比较长。为此,我们新近研制了一种容
积为30升的小型高低温试验箱,采用非氟利昂制冷剂,单机压缩机,不仅使制冷系统整体体积缩小,而且低温性能良好。它可进行高温恒温、超低温恒温、高低温程控循环试验。该设备生产成本低、箱体体积小、温控精度高、设计安全可靠,在电工、电子、军用材料、:家用电器和医学生物等领域均有广泛用途。
2、制冷系统设计
本箱体的制冷系统是采用单个全封闭小型压缩机,非氟里昂制冷剂,达到-70 ℃以下低温的制冷系统。其特点是:体积小,制冷效率高。
2.1制冷系统的工作原理
如附图1所示单机压缩机制冷系统,由1.压缩机, 2.冷凝器, 3.通风机, 4.干燥过滤器,5.同流换热器,6.低温节流阀,7.蒸发器,8.调节阀组成。在装置中充满三种成份的烃类混合制冷剂。压缩在压缩机中的混合物流向冷凝器。在冷凝器中只有一种 成分转换成液相。通过冷凝器后,高压蒸汽液体混合物通过过滤器到达同流换热器,冷却至约-40℃~ 50 ℃,通过同流换热器后的蒸汽液体混合物不断地节流,温度降低至约-100c,并流向热交换器。在这里混合物汽化,并回升至-80℃,然后逆流流到冷却直流的同流换热器中。从同流换热器中出来后,逆流混合物的温度比室温低10~
15 ℃,并回到压缩机中。
2.2制冷系统主要特性的计算
2. 2. 1箱子的热计算
主箱体可看作一个正方体,容积Vo=40升,表面积F= 0。 7㎡。在箱子为正方体的条件下,所计算的热流表面积等于箱子的表面积,且不取决于绝热层的厚度δ。随着δ的变化,箱子的外部尺寸也随着之变化。箱子本身及其外壳是用厚度为0。 6 ~ 2。 5mm的不锈钢作的,箱壁和外壳的热阻可以忽略不计。用聚苯乙烯作为绝热层,其热导系数为λ=0。04W/MK,比重为γ
T =33KG/M热流量Q=FK(T-T0)
K-环境空气和箱内空气之间的散热系数;
T和T0-环境温度和箱内温度,计算时T=300K, T0=203K

a1、a2为
高低温试验箱内外的散热系数,在自然对流没有通风的条件下,
a =a z=10 W/M2K。绝热体的厚度为90毫米。此时,可计算出箱体的热流量为28W。估算表明,通过导线的热流量不超过10瓦,而热桥上的则不超过7瓦。所以,可以精确的计算,静止状态下的箱内温度等于-70℃,流到箱内的总流量为45瓦。
2.2.2混合制冷剂的热力性质的计算
对于多成分工质,可运用体积状态方程来进行热力计算和节流循环的分析。其主要优点在于:
1)热力性质计算精确,方程式简单,
2)说明气态和液态平衡物质的连续性
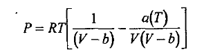
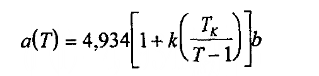
在体积状态方程中,我们使用P K B (列德里赫克沃格)方程计算热力性质。P KB方程:

P、V、T分别为气压,体积比和温度
R为通用气体常数;温度函数为:

Tk—临界温度, k-由成分的气体液态平衡的试验数据确定的参数。
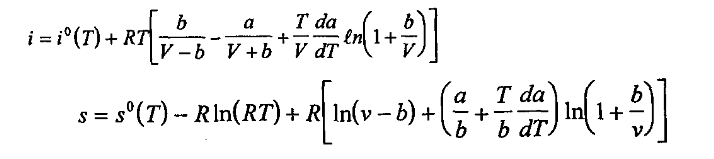
计算焓值i和熵值S的关系式为: