全国足疗信息论坛分享,51龙凤茶楼论坛合肥,全国茶楼信息网官网,辽宁楼凤论坛qm

聚焦瑞凯,传递环境检测行业新动态

恒温恒湿试验箱中毛细管热气旁通的设计及粗算过程

作者: salmon范 编辑: 瑞凯仪器 来源: m.94ww99.cn 发布日期: 2020.09.22
    毛细管是一种便宜、有效、没有磨损的节流机构,它在恒温恒湿试验箱的制冷装置中经常被用作液体节流器,对蒸发器供液。毛细管作为液管节流器的计算一直都没有可靠公式,大多根据经验值通过实验确定。将其用在热气旁通管中,利用制冷工质在细长管中的流动阻力,对压缩机排气管中的高温高压过热工质进行降压节流成为高温低压气体,节流过程只涉及到单相流体,可以通过管道的阻力粗略计算得出毛细管管内径和长度。
    一、毛细管热气旁通的粗算过程

    如图3所示,毛细管多采用夹扁大管焊接,毛细管进出两端实质上是一个突缩和突扩的局部阻碍。从流体力学的角度,毛细管的的节流能力就是对这个两个局部阻碍和毛细管沿程阻力的计算。

毛细管连接模型

图3 毛细管连接模型
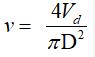
    1、计算毛细管前后低压、高压热气旁通管的管内流速υ1、υ3
    首先根据设计的运行压力,结合制冷剂的工质性质可以查出毛细管前后高压、低压热气旁通管道内的密度或比容,从而计算得出体积流量:
                            (1)  Vd
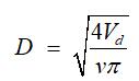
    根据体积流量确认毛细管前后低压、高压热气旁通管的内管径:
                            (2)D
    管径一般根据管内流速来确定,考虑的一个依据是管内噪音,管内流速在3000FPM(15.24m/s)以上会产生很大噪音。管内流速不应超过15m/s。毛细管后的低压管一般取略大于毛细管前的高压管。
    以流速计算得出的管径D是小要求的铜管内径。而商用铜管的尺寸已经标准化,为保证可靠性,环境试验箱制冷系统管路铜管在选择时均选用壁厚较厚的K形式铜管。
    得出内径后,V
    计算得到毛细管前后热气旁通管的气体流速分别为 υ1、υ3 。
    2、初定毛细管的内径
    不同毛细管的管内径和管长在相同应用工况下存在类比关系,内径和管长共同确定毛细管的节流能力。所以管长和内径需先假定一个初始内径值,再计算管长。当计算管长太长时(影响实际生产加工),再通过类比,或重选管内径较大的毛细管重新计算。热气旁通管毛细管一般假定内径值为高压热气旁通管D1的1/2左右,即1/4的截面积。
    3、计算毛细管沿程阻力
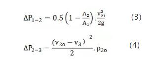
    毛细管的长度直接影响的是制冷剂的沿程阻力,要计算毛细管的长度,就需要先得到毛细管的沿程阻力值。而这个沿程阻力值可以粗略的看做整个热气旁通回路的压降除去毛细管进出口两个局部阻力△P1-2 和△P2-3  。
    制冷剂过热气体在毛细管中流动时,比容不断发生改变,流速越来越快,加上管路的保温作用,在毛细管长度粗算时,将其单纯的看成一元气体在绝热管中流动能简化计算过程,也较贴近实际。
    根据气体一元气体连续性方程  ρvA=C,C为常量。
    毛细管进出口的流速看做气体圆形断面在有限空间射流分析,为方便计算,将射流断面的平均流速、密度假定为随喷射距离均匀变化,由此可以计算得到制冷剂在流入、流出毛细管瞬间的流动状态参数v2i ,ρ2i;v2o,v2o。

    毛细管前后突然缩小和突然扩大的两个局部阻力可分别采用计算公式:

QQ截图20200922082345

     4、计算毛细管的长度
    毛细管节流过程为绝热膨胀过程,根据一元气体绝热流动的基本公式(近似解):
                                (5)P1
    公式中:P1、P2-毛细管进出口压力,单位为Pa;
    l——毛细管长度,单位m;
    λ——摩擦阻力系数;
    k——制冷剂气体绝热系数,常数k=1.33;
    ρ1——制冷剂密度,kg/m3 ;
    D——毛细管内径,单位m;
    G——制冷剂质量流量,单位 kg/s;
    A——毛细管截面积,单位m2。
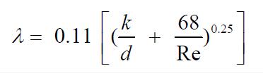
    毛细管的沿程阻力系数根据雷诺数 选择相应的公式,
    当Re=4000~107 时采用在柯式公式基础上简化的莫迪公式:
                            (6)瑞凯仪器
    当Re>107时采用在柯氏公式上简化的阿里特苏里公式:
                            (7)热旁通
    式中K为当量糙粒高度,对于铜管,根据莫迪当量粗糙图得出k=0.01mm。
    由绝热管路一元气体流动方程可得毛细管长度:
                          (8)QQ截图20200922082729
    通过计算得出的毛细管长度是一个较为粗略的值,要更精确的满足实际应用还需要进一步通过试验验证。同时根据不同的应用场合,也可以根据需要提高制冷系统设计的允许压力。
【相关推荐】
查看详情 + 上一条 高低温试验箱的检测与校准对策
查看详情 + 下一条 恒温恒湿试验箱冷热旁通回路设计方法

东莞市瑞凯环境检测仪器有限公司 版权所有

备案号:粤ICP备11018191号

咨询热线:400-088-3892 技术支持:瑞凯仪器 百度统计

联系我们

  • 邮箱:riukai@riukai.com
  • 手机:189 3856 3648
  • 座机:0769-81019278
  • 公司地址:东莞市横沥镇神乐一路15号

关注我们

  • <a title="瑞凯仪器客服" target="_blank" href="javascript:void(0);"></a>客服微信