全国足疗信息论坛分享,51龙凤茶楼论坛合肥,全国茶楼信息网官网,辽宁楼凤论坛qm

聚焦瑞凯,传递环境检测行业新动态

环境应力筛选选用的典型环境应力

作者: salmon范 编辑: 瑞凯仪器 来源: m.94ww99.cn 发布日期: 2019.10.30
    环境应力筛选使用的应力主要用于激发故障,而不是模拟使用环境,所以不必复现使用中遇到的环境。根据实践经验,对于电子组件来说,温度循环和随机振动两种应力在激发产品内部缺陷方面特别有效。

    一、温度循环

    1、基本参数
    表征温度循环筛选应力的基本参数包括上限温度、下限温度、温度变化速率、上限温度保温时间、下限温度保温时间和循环次数。
    2、特性分析
    温度循环诸参数中,对筛选效果影响的是温度变化范围、温度变化速率以及循环次数。提高温度变化范围和变化速率能加强产品的热胀冷缩程度和缩短这一过程的时间增强热应力,而循环次数的增加则能累计这种激发效应。因此加大上述三参数中任一参数的量值均有利于缩短整个温度循环筛选效果。缩短在上、下限温度值上的停留时间有利于缩短整个温度循环的时间,提高筛选的效率。产品温度达到稳定的时间可以以产品中的关键部件为准。必要时要特别监测该部件的温度,以保证筛选有效和防止其损坏。
    温度循环中试验箱内气流速度是关键因素,因为它直接影响到产品的温度变化速率。产品温度变化速率一般远低于试验箱内空气温度变化速率,提高箱内气流速度能使产品温度变化速率加大,使其温度更快接近于试验箱内空气的温度。
    3、诱发故障机理
    当温度在室温上下循环时,设备交替膨胀和收缩,使设备中产生热应力和应变。如果某产品内部有瞬时的热梯度,或产品内部邻接材料的热膨胀系数不匹配,则这些热应力和应变将会加剧。这种应力和 应变在缺陷处,起着应力集中的作用。这种循环加载使缺陷长大,终大到出现故障。
    温度循环激发出的主要故障模式如下:
    1)使涂层、材料或线头上各种微观裂纹扩大;
    2)使粘结不好的接头松弛;
    3)使螺钉连接或铆接不当的接头松弛;
    4)使机械张力不足的压配接头松弛;
    5)使质量差的焊接接触电阻加大或造成开路;
    6)多余物污染;

    二、随机振动

    1、基本参数
    表征随机振动筛选应力的基本参数是频率范围、功率谱密度、振动时间、振动轴向(数)。典型的振动谱如图1所示。

    常用频谱的加速度均方根值来表示随机振动的强度。

典型的振动谱

图1

    2、特性分析
    随机振动是在很宽的频率范围上对产品施加振动,产品在不同的频率上同时受到应力,使产品的许多共振点受到激励。这就意味着具有不同共振频率的元部件同时在共振,随机振动这一同时激励特性,其筛选效果大大增强,筛选所需持续时间大大缩短,其持续时间可减少到正弦扫频的1/3~1/5。
    为了使产品中要重点加以筛选的元部件受到强应力筛选,以使敏感的关键元件或响应过大的部位不产生损坏,可调整输入振动量值,即在重点加以筛选的元部件共振频率附近使用高量值;在关键的元件或大响应部位使用低量值。
    即使产品实际使用中不经受任何振动,随机振动一般也适用的。这是因为在环境应力筛选中评价应力的适用性的基本原则是把缺陷变成故障的能力,而不管实际寿命期中这些缺陷如何变成故障。
    3、激发出的故障模式
    随机振动筛选激发的主要故障模式或影响如下:
    1)结构部件、引线或元件接头产生疲劳,特别是导线上有微裂纹或类似缺陷的情况下;
    2)电缆磨损;
    3)螺钉接头松弛;
    4)安装加工不当的集成电路离开插座;
    5)汇流条及连到电路板上的焊接接头受到高应力,引起焊接薄弱点故障;
    6)与可作相对运动的部件桥形连接的元器件引线因没有消除应力而造成损坏;
    7)已受损或安装不当的脆性绝缘材料出现裂纹。

    三、随机振动参数的计算方法

    随机振动试验标准中给出的参考谱值通常是按对数坐标给出的。相邻的两点有时给出谱值和频率值,有时给出一点的谱值、斜率及频率值。
    1、相关概念
    1)方根均值
    在f1和f2区间内单值函数的方均根值,是在该区间内的函数值的平方的平均值的平方根值。通常用rms表示。
    2)总均方根加速度(Grms)
    均方根加速度指通过频谱曲线下面的面积开根号值。
    3)功率谱密度PSD
    功率谱密度指随机信号的各个频率分量所包含的功率在频域上是怎样分布的,通常用PSD表示,单位g^2/Hz。它在频域上分布的曲线图称谱图。横坐标为频率,纵坐标为功率率密度。
    4)倍频程
    倍频程oct是octave的缩写,用log2(f2/f1)求得。
    5)分贝
    分贝decibel,用10log(PSDj/PSDi)求得。

    2、斜率的计算方法

斜率的计算方法

图2

    如图2所示,点i的坐标为fi,Psdi,点j的坐标fj,Psdj,由于所需要计算的斜率是按对数坐标给出的,其单位为dB/oct,此时斜率m表示为:
        m=10lg(Psdj/Psdi)/log2(fj/fi);
    如若已知i的谱值和斜率m,则由上式容易得出j的谱值为:
    Psdj=Psdi(fj/fi)^(m/10lg2)
    3、加速度均方值计算方法
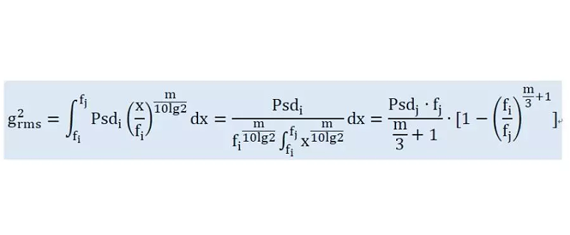
    如图2所示,要计算加速度均方值就要计算点i、点j、和fi、fj所围成的图形的面积。

    其中上升斜率对应的公式为:

上升斜率对应的公式

    下降斜率对应的公式为:

下降斜率对应的公式

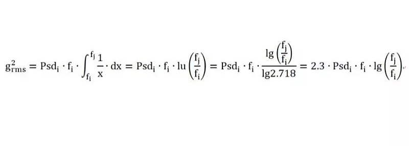
    当下降斜率为3时,由于分母为零,改换积分公式可以导出:

下降斜率为3时

    平直谱的计算Psd值乘以频率之差可得。
    4、总的加速度均方值
    总的加速度均方值等于各段曲线的加速度均方值之和。
    Grms^2=g1^2+g2^2+g3^2+....

    四、筛选应力的选择

    1、应力类型的选择和安排
    1)应力的选择

    筛选用的环境应力,一般优先采用温度循环和随机振动。如果经济条件或设备条件不许可,可采用效率较低的其他应力,如振动改用正弦扫频振动,温度循环改成温度冲击等。

应力的选择

图3

    2)筛选对象

    不同组装等级(元器件级、组件级、单元级、设备或系统级)的环境应力筛选。

环境应力筛选

图4

    3)应力安排

    环境应力筛选不仅取决于采用的各应力特有的作用机理,还取决于其互相加速作用。使用温度循环和随机振动筛选时,筛选应力佳组合应是振动-温度循环-振动。振动好在循环前进行。

应力安排

图5

    GJB1032中规定的温度和振动筛选应力安排情况如图6所示。

GJB1032中规定的温度和振动筛选应力安排

图6

    4)应力确定原则
    环境应力筛选所用的应力一般是加速应力,但不能超出设计的极限应力,以不使设备性能下降或寿命降低。
    2、温度循环应力的确定方法

    温度循环参数量:温度范围、保持时间、温度变化速率、循环次数。

温度循环应力的确定方法

    1)温度上限、下限值确定准则
    温度循环中的温度上限、下限值决定了筛选强度。温度范围(高低温之差)表明了产品在每一个循环中经受的热应力/应变强度。
    选择温度上限、下限值的关键是给硬件适当应力以析出而又不损坏好的产品。应考虑使用储存温度极值和元器件的工作温度??捎靡韵录钢址椒ɡ慈范ㄎ露壬稀⑾孪蓿?
    a.如果产品打算通电筛选,在其上、下限温度使要工作并检测性能,则应力筛选的上限温度不能高于产品的设计工作温度,其下限温度不低于产品的设计工作温度;
    b.如果产品不打算进行通电筛选和在其上下限温度时进行检测,则应力筛选的上限温度不应高于产品的储存高温,其下限温度不应低于产品的贮存低温;
    c.如果产品只打算仅在上(或下 )限温度通电并检测性能,则其上限温度不应高于产品的设计工作温度,下限温度不应低于产品储存低温,或其上限温度不应高于产品的储存高温,下限温度不应低于产品的设计工作温度。
    d.如仅在产品的系统进行筛选,在确定筛选的上限、下限温度时,要对系统中的各部件和元器件的设计工作温度和设计工作温度及储存高温和低温进行对比分别找出此系统的各部件和元器件的设计工作温度和储存高温中的值,得到一个设计工作温度和一个储存高温,再分别找出此系统的各部件和元器件中设计工作温度和储存低温的值,得到一个设计工作温度和一个储存低温。
    这4个温度值中,两个工作温度构成一组,设计、工作温度,两个储存温度构成一组储存高、低温。把这二组温度作为确定该系统筛选上限、下限温度的依据。
    2)温度变化速率确定准则
    由于以下原因,在ESS中加热、冷却是不均匀的:
    a.受筛产品表面不均匀的热传递;
    b.受筛产品表面与内部之间的热滞后;
    c.受筛产品各部件的热惯性不一样。
    因此,在整个受筛产品中就可能存在瞬时温度梯度。这种温度梯度及其引起的热应力/应变随着温度变化速率的增加而增加。如果温度变化速率太高,有可能损坏受筛产品; 如果箱中空气流速慢且受筛产品质量大,由于热惯性大,增加试验空气温度变化速率反而会导致过分温和的筛选,因为受筛产品温度变化跟不上箱中空气温度的变化。
    温度变化速率不小于5℃/min。温度变化速率小于5℃/min,筛选效果将降低。
    3)上、下限温度的持续时间确定准则
    种准则是:当受筛产品中响应慢的部分的温度与终温度之差在规定值之内时,就认为实现了稳定。这一准则核心是使元器件温度达到某一规定值。不推荐把受筛产品中具有热惯性的元部件作为温度稳定的部位,也不推荐仅使组件中的某一部分元部件作为确定的部位。
    第二种准则是:当受筛产品中响应慢的部分温度变化速率达到某一规定小值时,就认为实现了稳定。(不常用)
    4)无故障循环次数确定准则
    无故障循环应作为通电温度循环筛选的一个组成部分,其目的主要为:
    a.作为筛选圆满程度的度量;
    b.作为故障修理是否有效的度量;
    GJB1032规定至少10个循环不出故障,才通过其规定的筛选度的筛选。
    5)设备状态确定准则
    温度循环筛选中,可以在两个极值中的任一个或在这两个温度极值下及在室温下进行充分的检测。
    从可能性和经济性出发,一般在高组装级进行通电和检测,在低组装级不进行通电和检测。
    在温度循环中,降温阶段不应通电,因为通电使产品发热,会影响产品温度变化速率。
    3、随机振动应力确定方法
    振动筛选时产品中缺陷的析出主要取决于缺陷处振动响应量值,振动筛选的有效性是由受筛产品对振动的响应决定的,而不是由振动输入决定的。
    1)振动谱和量值
    考虑振动谱和量值时,重要的是要规定其激励特性。一个充分筛选的振动谱的信号是宽带的,以保证所有时间在连续频率上都施加振动且达到适当的谱量值。
    GJB1032中推荐单轴振动10min,多轴振动每轴5min。
    2)振动轴向
    原则上,随机振动一般应在3个轴向进行,具体进行几个轴向振动,按以下方法确定:
    a.单轴向筛选
    如果经充分统计抽样获得的数据库筛选数据始终能证明在其他轴向发现的缺陷极少,则限于单一振动轴向的有效振动筛选是可以接受的。决定单轴激励时,要在3个互相垂直的轴向进行振动调查,确定产品关键部位的响应,以找出有效的轴向。
    b.两轴向依次筛选
    当筛选增加到在两个轴向依次进行,将明显提高发现缺陷的能力。然而,任意指定在某两个轴向进行筛选,可能会限制寻找缺陷的能力。因此,应当通过振动调查或支持两轴筛选工作的数据库来确定这两个轴向。
    c.三轴向依次筛选
    从一般意义来说,三轴向筛选在寻找缺陷方面为有效,筛选的有效性取决于单元或系统对振动激励的响应。在每一个轴向随意施加一个固定的输入会导致过应力或欠应力条件。因此,理想的筛选是在每一个轴向施加振动,找出每一轴向佳振动的输入量值。这就能保证在每个轴向的危险频率处有足够的能量去寻找出大多数预期的缺陷。
    d.双轴向或三轴向同时筛选
    在两个或3个轴向同时激励产品的振动筛选可以满足激励主要响应轴的要求,同时还增加了旋转激励,可大大减少筛选时间和装卸费用。
    3)振动持续时间
    随机振动时间一般是每个方向10min,5min用于激发缺陷成为故障,以便进行修理和剔除早期故障,大部分产品中的潜在缺陷用5min的随机振动都能激发出来。另外用5min进行无故障验证。

    五、基线筛选方案与实施过程

    1、基线筛选方案
基线筛选方案
图8 基线筛选方案
    2、常规环境应力筛选设计程序

常规环境应力筛选设计程序

图9 常规环境应力筛选设计程序

文章选自:可靠性杂谈
【相关推荐】
查看详情 + 上一条 基于GB/T2423试验标准,湿热试验方法适用范围及注意事项
查看详情 + 下一条 高低温冲击试验箱温度转换时间的检测方法

东莞市瑞凯环境检测仪器有限公司 版权所有

备案号:粤ICP备11018191号

咨询热线:400-088-3892 技术支持:瑞凯仪器 百度统计

联系我们

  • 邮箱:riukai@riukai.com
  • 手机:189 3856 3648
  • 座机:0769-81019278
  • 公司地址:东莞市横沥镇神乐一路15号

关注我们

  • <a title="瑞凯仪器客服" target="_blank" href="javascript:void(0);"></a>客服微信