高低温试验箱温度性能不确定度的计算
作者:
salmon范
编辑:
瑞凯仪器
来源:
m.94ww99.cn
发布日期: 2019.08.07
在工作实践中,通常在无负载的情况下,依据标准JJF1101-2003《环境试验设备温度、湿度校准规范》开展对
高低温试验箱的校准,该校准规范规定的校准方法为:“温度校准时,按照规定在
高低温试验箱内部上、中、下三层布放温度传感器,将高低温试验箱的温度控制器设定到所要求的标称温度,使设备正常工作。稳定后开始读数,每2min记录所
有测试点的温度一次,在30min内 共测试15次”。另外也规定了当
高低温试验箱的容积小于2㎡时,温度测试点为9个,当容积大于2㎡时,温度测试点为15个,当容积大于50㎡时, 温度测试点可以适当增加。
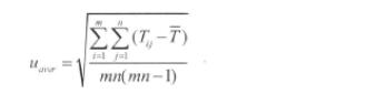
在高低温试验箱温度校准过程中,所得校准结果的平均值的数学表达式为:
依据
高低温试验箱温度性能不确定度的来源分析和所采用的校准方法以及温度校准结果平均温度的数学模型,可知,
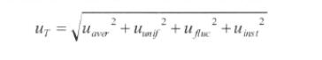
高低温试验箱温度性能不确定度主要来源于温度平均值的实验标准偏差、不同测试点的温度差异、温度随时间变化的变异以及校准仪器的不确定度",具体表示为:
1)温度校准结果平均值的实验标准偏差Uaver

2)
高低温试验箱内不同测试位置间的差异引入的不确定度Uung,,它由各个测量传感器读数平均值的分散度求得,依据贝塞尔公式为:

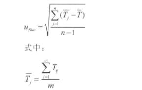
3)随着时间温度的变异引入的不确定度Ufhc,它依据每次测量所有传感器读数平均值的分散度求得,依据贝塞尔公式为:

4)校准设备引入的不确定度Uinst依据其检定证书所提供的不确定度信息可以求得。
显然,各个分量之间是不相关的,因此高低温试验箱温度性能的合成不确定度Ut的数学模型为: