全国足疗信息论坛分享,51龙凤茶楼论坛合肥,全国茶楼信息网官网,辽宁楼凤论坛qm

聚焦瑞凯,传递环境检测行业新动态

高低温湿热试验箱的校准与不确定度分析

作者: salmon范 编辑: 瑞凯仪器 来源: m.94ww99.cn 发布日期: 2019.12.28

    1、校准标准

     高低温湿热试验箱湿度校准装置,它是由一台温湿场校准记录仪联接多支四线制铂电阻多支湿度传感器组成,测量范围:温度(-25~300) ℃,湿度(5~100) %RH,精确度:温度0.2℃,湿度0. 5%RH,整套装置附有校准证书,具有温度、湿度修正值。

    2、校准项目和方法

    2.1 校准方法
    高低温湿热试验箱的校准一般在空载条件下进行校准。校准温、湿度点一般应选择设备使用范围的上限、下限及中间点。在实际工作中,通常根据客户需求选择实际常用的温、湿度点。干湿球法在90%RH以上的高湿情况下具有良好的准确性和稳定性,建议湿度点选在90%RH以上。为了准确测量整个高低温湿热试验箱温湿度的分布情况,温度校准点应至少选择9个,位置应选在设备工作室内的三个校准面上,简称上、中、下三层,中层为通过工作室几何的、平行于底面的校准工作面,校准点与工作室内壁的距离为各边长的1/10。湿度校准点至少3个。
    温度测试点用A、B、C等字母表示,湿度测试点用甲、乙、丙表示。
    温、湿度标准的轴心线应平行,且距离应不小于湿球传感器总直径(包括湿球纱布套的厚度在内)的三倍。纱布应充分湿润,选用带盖水杯盛满蒸馏水,水杯中水面到湿球底部的距离约为30mm。
    2.2 校准步骤
    放置温、湿度传感器,将传感器的另一端(四线制接插头)接在数字显示仪表(温湿度巡检仪) 上,按说明书对仪表做相应设置。将温湿度场设备的温度、湿度控制器设定在要求的标称温湿度点上,使设备正常工作。当设备显示的温、湿度达到设定点并稳定一段时间(通常少半小时)后开始记录数据,每隔2min记录一次, 30min 内共记录15组。改变设定点温、湿度,记录下一组数据。校准结束后取出传感器。

    3、设备测量结果的不确定度评定

    本文就以测量100℃温度点的温度波动度为例进行不确定度分析。

    3.1 数学模型

数学模型

    式中:Tb为被校设备的温度波动度;Tmax为在设备的几何点处测得的温度值;Tmin为在设备的几何点处测得的温度小值。
    3.2 计算标准不确定度分量
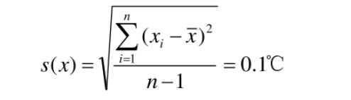
    3.2.1 测量重复性引入的标准不确定度分量u1

    采样点的测量重复性引入的不确定度分量是用统计方法来进行评定,该项不确定度为A类不确定度。因为该系统是自动测量,在设备几何点测量温度可以做到10s采一点,这样在整个测量过程(30min)内,按规范要求的数据处理方法,可以得到12组数据,相当于取得12次温度波动度的测量值。论文篇幅有限,所测得的具体数据省略。因该项评定与被测设备的稳定性有很大关系,经多次实验,用测得数据得到单次测量标准偏差为:

单次测量标准偏差

    测量重复性引入的不确定度用平均值标准偏差表示,取12次测量的平均值,可得到平均值标准偏差:

平均值标准偏差

    12次重复测量,故自由度为:V1=12-1=11
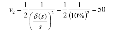
    3.2.2测温传感器的动态响应引入的标准不确定度分量u2

    根据要求,测温传感器的时间常数小于15s。 假定一极限情况,在2min之内温度变化1℃,其升温曲线为一斜坡,即线性变化,则测温传感器在2min末滞后而造成的偏差为0.125℃,取概率分布为均匀分布,包含因子k=√3,则标准不确定度为

标准不确定度

    该估算值不可靠性约20%,故自由度为:

自由度

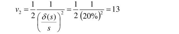
    3.2.3 测量仪表引入的标准不确定度分量u3

    电测仪表在100℃点的误差限为±0.05Ω,取概率分布为均匀分布,包含因子k=√3了,则标准不确定度为(温度传感器的温度系数为0.3979/℃):

U3

    该估算值不可靠性约10%,故自由度为:

V2

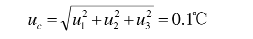
    3.3合成标准不确定度

    根据数学模型和不确定度传递规律,上述不确定度 分量之间互不相关,互相独立。合成标准不确定度为:

UC

    3.4 有效自由度

有效自由度

    3.5扩展不确定度
    当veff=42,置信概率p=0.95时,t分布临界值的覆盖因子为k=t0. 95

    (veff)=2.02,则扩展不确定度为:

U

    根据测量不确定度的分析来看,为保证高低温湿热试验箱的校准质量,在工作中应注意以下问题:温度传感器要单支标定、单支分度;湿度传感器的稳定性较差,大多数湿度传感
    器在高温高湿时容易漂移,因此建议在每次校准前都要对湿度传感器进行标定。

    4、结语

    通过上文的分析,我们加深认识了高低温湿热 试验箱的校准与不确定度,希望通过本文针对高低温湿热试验箱的校准与不确定度的探讨,起到抛砖引玉的作用,引入更多的相关从业人员参与探讨当中,对高低温湿热试验箱的校准与不确定度多分析。
【相关推荐】
查看详情 + 上一条 饱和蒸汽温度密度压力对照表
查看详情 + 下一条 军工用步入式恒温恒湿试验室的故障分析

东莞市瑞凯环境检测仪器有限公司 版权所有

备案号:粤ICP备11018191号

咨询热线:400-088-3892 技术支持:瑞凯仪器 百度统计

联系我们

  • 邮箱:riukai@riukai.com
  • 手机:189 3856 3648
  • 座机:0769-81019278
  • 公司地址:东莞市横沥镇神乐一路15号

关注我们

  • <a title="瑞凯仪器客服" target="_blank" href="javascript:void(0);"></a>客服微信